Preamble
I’m a big fan of Michael Pershan’s project Math Mistakes. If you’ve never checked it out, it’s worth exploring. And while I’m meddling with your life, here’s a tip for your entire department: Start each meeting by spending five minutes exploring one of the mistakes posted on Michael’s site. On a rotating basis, have one member of the department share a “provocative” math mistake from the blog (or maybe even one from his or her own classroom). And once duly provoked… Cue the discussion!
Amble
I included the following uninspiring question on a recent assessment:
The first two assessments I graded included the following responses:
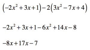
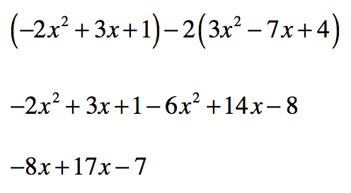
Student 1
Student 2 ((My apologies for the retype. I added some feedback before snapping a photo.))
Comment Fodder
So here’s my question (er, set of questions) for you:
- Are these mistakes equally egregious?
- What misconceptions are contained in the first mistake? How would you address them?
- What misconception are contained in the second mistake? How would you address them?
- Would you grant any credit for either response, and why?




In both cases, I see a kid who thinks you need to add/subtract exponents when combining like terms where the exponent is “visible” (greater than 1). Note how the kid didn’t mess with the exponents on the linear expression 3x + 14x.
Are these mistakes equally egregious? No. I think Student 2 might have simply left off the exponent on the -8x^2 term. I say this because she got the exponentiation right on the linear term. So Student 2 may not have any misconception at all. I would need a different question, perhaps with cubes, to decide if Student 2 is misconceiving the math.
Megan, thanks for the comment!
For Student 1 I saw a misunderstanding of the structure of terms and factors and a (mis)application of a (non)rule for exponents, namely x^a+x^b=x^(a+b). I’m open to ideas anyone has for helping break through this issue, since this is my student and I/we’ve clearly failed with previous attempts. (And this isn’t the only student of mine who does this!)
For Student 2 I am almost certain the issue was a writing mistake rather than a thinking error. This student’s other work (on similar and other problems) shows a strong understanding factors and terms, and fluency with simplifying expressions. I’m intrigued by the thought that this student might have subtracted exponents (two minus two is gone!) and just left the base, and like your suggestion for a simple way to check how deep this misconceiving goes.
Thanks again for your thoughts, Megan!
just think of how many possible mistakes are hidden in this “simple” problem! i can guarantee that somewhere there is a student who does everything correct except +1 – 8 = -7 or -2 + -6 = -8. and if there’s a silly addition or multiplication mistake that can be made, i guarantee someone will do it. i regularly have students tell me things like 36 – 9 = 25, for example. and in one glorious case, i had a student do a very complicated problem completely correctly except she persistently, through multiple parts of the problem, said that 8*4 = 42!
going on, it wouldn’t surprise me if there were a ton of students who distributed a 2 instead of the -2.
i can also foresee a student who distributed the -2 but then left the distributed answer in brackets and then multiplied the two brackets together, resulting in a catastrophically unwieldy problem. the very inclusion of the first polynomial in brackets seems to invite that misconception.
etc etc.
regarding your question about credit granting, i’d say that both students deserve quite a lot of credit because here are things they understand:
1) that the first bracket is meant to denote a polynomial and does not indicate multiplication
2) that the second bracket is meant to denote a polynomial to be multiplied by a constant
3) that the constant multiplying the second polynomial is a -2, not a 2
4) that once the brackets have been multiplied out, you have a simple addition problem
5) the concept of like terms — they have correctly identified all like terms and not attempted to combine any unlike terms
6) adding, subtracting, and multiplying with negative numbers
7) how to combine like terms of constants and 1st degree variable expressions
here’s what they don’t:
1) how combine like terms of 2nd degree variable expressions
next year, i vow to take more pictures of student mistakes because i think it’s fun to look at.
Kate, thanks for chiming in! If you end up writing any posts this year analyzing images of student work, drop me a line on Twitter (@mjfenton).
I know it’s been several years since you’ve posted this, but I constantly run into similar issues when I tutor 1-on-1. The best I’ve been able to do so far is ask them to read the problem aloud and then ask them to justify each step. If they still do not see the mistake, I am usually able to point them to a similar problem they have already completed correctly and ask them to explain why they treated it differently. I also work with older students, so perhaps this strategy would not work as well in other age groups.
If there were other students (which there are not in my scenarios) I would ask them to pair-share and try to determine why there answers are different. One of the reasons I emphasize the discussion of the mistake is because maybe the student does know the material and was simply careless- we’ve all been there, I don’t even know how many times I’ve copied a problem down incorrectly, misread a number, or mistook a smudge/eraser crumb for a negative sign.
I would also utilize test/homework corrections where if they students can write down how to correct the issue and explain it in words, they would get either full credit or nearly full credit (I am not a teacher yet and I know my preconceived notions may not hold in an actual classroom environment).
Thanks for sharing, chmila!